Aller au contenu

La découverte d’un possible signe de vie extraterrestre met les scientifiques en ébullition

Noter ce sujet


Ma Poule

Messages recommandés

Annonces
Maintenant
Invité Jim69
Invités, Posté(e)
Invité Jim69
Invité Jim69 Invités 0 message
Posté(e)

Alors déjà le titre : D’autres études vont devoir déterminer si K2-18b, qui orbite autour d’une étoile située à 120 années-lumière, est habitée, voire habitable.

"D’autres études vont devoir déterminer si K2-18b, qui orbite autour d’une étoile située à 120 années-lumière, est habitable, voire habitée." me semble bien plus logique.

 

Lien à poster
Partager sur d’autres sites

Invité Jim69
Invités, Posté(e)
Invité Jim69
Invité Jim69 Invités 0 message
Posté(e)

L'article rapporte que le télescope spatial James Webb a détecté dans l'atmosphère de K2-18b des traces de sulfure de diméthyle (DMS) et de disulfure de diméthyle (DMDS). Sur Terre, ces composés sont produits principalement par des organismes vivants, notamment le phytoplancton. Cette découverte est donc considérée comme un indice potentiel de vie extraterrestre.

Les scientifiques eux-mêmes appellent à la prudence. Bien que la détection de DMS et de DMDS soit intrigante, elle n'est pas une preuve définitive de vie. Des processus non biologiques pourraient également expliquer leur présence. De plus, la nature même de K2-18b est encore débattue : certains chercheurs estiment qu'elle pourrait être une planète gazeuse sans surface solide, ce qui compliquerait la possibilité de vie telle que nous la connaissons.

Lien à poster
Partager sur d’autres sites

Membre, forumeuse acharnée, Posté(e)
querida13 Membre 49 176 messages
forumeuse acharnée,
Posté(e)

 Il faut déplacer un objet durant 120 années à la vitesse de la lumière (300 000km/seconde) pour l'atteindre et aller vérifier cette hypothèse...Eh bien, ce n'est pas la porte à côté, mes amis! Donc, on calme sa joie!

Modifié par querida13
  • Like 1
  • Confus 1
Lien à poster
Partager sur d’autres sites

Membre, Posté(e)
Pierrot89 Membre 9 577 messages
Maitre des forums‚
Posté(e)
Il y a 4 heures, Ma Poule a dit :

Le sulfure de diméthyle est une molécule organique usuellement utilisée dans les synthèses chimiques , fabriquée assez simplement et n'est évidemment, pas la signature d'un origine d'organismes vivants , chaque chimiste sérieux vous le dira.

 

 

  • Like 1
Lien à poster
Partager sur d’autres sites

Invité Jim69
Invités, Posté(e)
Invité Jim69
Invité Jim69 Invités 0 message
Posté(e)
Il y a 5 heures, querida13 a dit :

 Il faut déplacer un objet durant 120 années à la vitesse de la lumière (300 000km/seconde) pour l'atteindre et aller vérifier cette hypothèse...Eh bien, ce n'est pas la porte à côté, mes amis! Donc, on calme sa joie!

On a qu'à y envoyé Katy Perry. Elle semble avoir une formation sérieuse pour ça.
Je voulais être un modèle»: Katy Perry est allée dans l'espace à bord d'un  vol 100% féminin | Le Devoir

Pour ceux qui n'ont pas suivit, ils (bluesky) l'ont envoyée (ainsi que ces 6 autres camarades) pour faire un tour dans l'air dans 100 km au dessus de nous pendant 11 mn (tout compris aller, retour, et pose pipi).
Je vois pas trop l'intérêt. Et pourquoi que des femmes ? Ils n'avaient plus de singes ? :sleep: 

Putain quand je vois "l'équipage", on dirait un casting pour un film ou une série de Netflix avec tout les quotas raciales bien respecté. C'est magnifique.

Lien à poster
Partager sur d’autres sites

Membre, 58ans Posté(e)
SpookyTheFirst Membre 4 130 messages
Maitre des forums‚ 58ans‚
Posté(e)
Il y a 6 heures, Jim69 a dit :

L'article rapporte que le télescope spatial James Webb a détecté dans l'atmosphère de K2-18b des traces de sulfure de diméthyle (DMS) et de disulfure de diméthyle (DMDS). Sur Terre, ces composés sont produits principalement par des organismes vivants, notamment le phytoplancton. Cette découverte est donc considérée comme un indice potentiel de vie extraterrestre.

Les scientifiques eux-mêmes appellent à la prudence. Bien que la détection de DMS et de DMDS soit intrigante, elle n'est pas une preuve définitive de vie. Des processus non biologiques pourraient également expliquer leur présence. De plus, la nature même de K2-18b est encore débattue : certains chercheurs estiment qu'elle pourrait être une planète gazeuse sans surface solide, ce qui compliquerait la possibilité de vie telle que nous la connaissons.

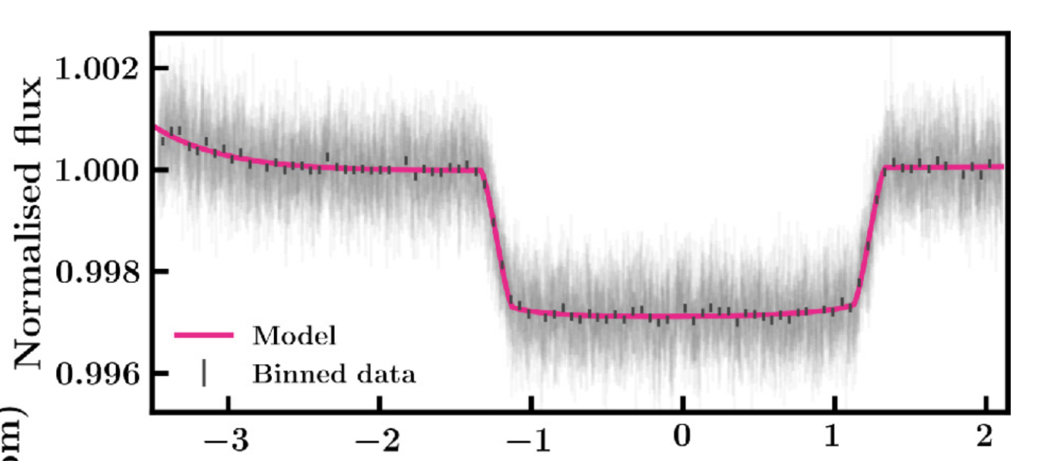
J’ai regardé un peu la publi, qui me semble être la suivante, en libre acces:
https://iopscience.iop.org/article/10.3847/2041-8213/adc1c8

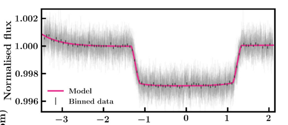
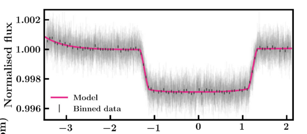
 là on a bien la courbe du transit qui montre la diminution de l’intensité lumineuse de l’étoile du au passage de l’exoplanete (je connais un peu car j’en ai déjà mesurée une):

image.thumb.png.1a4ce37fb24214a11464730fd44ee86d.png
 

Par contre, je n’y connais rien en spectroscopie appliquée au transit, et je n’ai pas bien compris à quel moment ils soustraient le spectre de l’étoile (pourtant chatGPT m’apprend que c’est l’approche standard).

au final ils trouvent ce spectre entre 6 et 12um:

image.thumb.png.a047a82874a3c2d5c0cb02538affc11d.png

les 4 bosses sont les molécules recherchées, mais attention ce que je comprend c’est que les mesures sont en marron avec les barres d’erreurs qui me semblent assez monstrueuses.

Ce qui ont compris plus que moi n’hésitent pas à partager leurs lumières!

 

image.png

image.png

  • Peur 1
  • Waouh 1
Lien à poster
Partager sur d’autres sites

Membre, 84ans Posté(e)
mary.shostakov Membre 760 messages
Forumeur expérimenté‚ 84ans‚
Posté(e)
Il y a 9 heures, querida13 a dit :

 Il faut déplacer un objet durant 120 années à la vitesse de la lumière (300 000km/seconde) pour l'atteindre et aller vérifier cette hypothèse...Eh bien, ce n'est pas la porte à côté, mes amis! Donc, on calme sa joie!

... ... ...

De plus, si quelqu'un quitte la terre en se déplaçant à la la vitesse de la lumière (ou presque) les effets de la relativité générale se manifestent en raccourcissant les distances, et permettent donc d'arriver à destination (à quelques centaines d'années-lumière) et d'en revenir en quelques mois seulement, sauf que sur terre, il se sera écoulé des dizaines ou des centaines de millions d'années. 

Quelle surprise, au retour !

... ... ...

  • Like 2
Lien à poster
Partager sur d’autres sites

Membre, forumeuse acharnée, Posté(e)
querida13 Membre 49 176 messages
forumeuse acharnée,
Posté(e)
il y a 9 minutes, mary.shostakov a dit :

... ... ...

De plus, si quelqu'un quitte la terre en se déplaçant à la la vitesse de la lumière (ou presque) les effets de la relativité générale se manifestent en raccourcissant les distances, et permettent donc d'arriver à destination (à quelques centaines d'années-lumière) et d'en revenir en quelques mois seulement, sauf que sur terre, il se sera écoulé des dizaines ou des centaines de millions d'années. 

Quelle surprise, au retour !

... ... ...

La planète des singes, peut-être?

 A mon avis si qqn parvient à le faire, il aura surtout le cerveau écrasé au fond de la boîte crânienne.

Lien à poster
Partager sur d’autres sites

Invité Herver
Invités, Posté(e)
Invité Herver
Invité Herver Invités 0 message
Posté(e)
il y a 8 minutes, querida13 a dit :

La planète des singes, peut-être?

 A mon avis si qqn parvient à le faire, il aura surtout le cerveau écrasé au fond de la boîte crânienne.

Ressens tu la vitesse dans un tgv à plus de 300 km ? ...moi non même en moto  à 300 je la ressent pas en revanche quand j accélère freine ou me penche la je ressent méchamment les G mais en vitesse stationnaire rien ne change 

Lien à poster
Partager sur d’autres sites

Membre, forumeuse acharnée, Posté(e)
querida13 Membre 49 176 messages
forumeuse acharnée,
Posté(e)
il y a 6 minutes, Herver a dit :

Ressens tu la vitesse dans un tgv à plus de 300 km ? ...moi non même en moto  à 300 je la ressent pas en revanche quand j accélère freine ou me penche la je ressent méchamment les G mais en vitesse stationnaire rien ne change 

Bon, super! on a  déjà un volontaire pour y aller!

  • Haha 1
Lien à poster
Partager sur d’autres sites

Invité Herver
Invités, Posté(e)
Invité Herver
Invité Herver Invités 0 message
Posté(e)
il y a 7 minutes, Herver a dit :

Ressens tu la vitesse dans un tgv à plus de 300 km ? ...moi non même en moto  à 300 je la ressent pas en revanche quand j accélère freine ou me penche la je ressent méchamment les G mais en vitesse stationnaire rien ne change 

Hum ça se voit que le taff m'a tué aujourd'hui pencher je la ressent pas si je me redresse si

Lien à poster
Partager sur d’autres sites

Membre, scientifique, Posté(e)
Répy Membre 24 818 messages
scientifique,
Posté(e)
Il y a 3 heures, SpookyTheFirst a dit :

J’ai regardé un peu la publi, qui me semble être la suivante, en libre acces:
https://iopscience.iop.org/article/10.3847/2041-8213/adc1c8

 là on a bien la courbe du transit qui montre la diminution de l’intensité lumineuse de l’étoile du au passage de l’exoplanete (je connais un peu car j’en ai déjà mesurée une):


 

Par contre, je n’y connais rien en spectroscopie appliquée au transit, et je n’ai pas bien compris à quel moment ils soustraient le spectre de l’étoile (pourtant chatGPT m’apprend que c’est l’approche standard).

au final ils trouvent ce spectre entre 6 et 12um:

 

les 4 bosses sont les molécules recherchées, mais attention ce que je comprend c’est que les mesures sont en marron avec les barres d’erreurs qui me semblent assez monstrueuses.

Ce qui ont compris plus que moi n’hésitent pas à partager leurs lumières!

 

Entièrement d'accord avec ce que tu as écrit.

Je trouve que l'on s'emballe bien vite et que les conclusions sont bien hâtives.

je pense même qu'il y a un coup de pub pour inciter Trump-Musk à ne pas couper certains crédits de recherche

Lien à poster
Partager sur d’autres sites

Invité Herver
Invités, Posté(e)
Invité Herver
Invité Herver Invités 0 message
Posté(e)
il y a 1 minute, querida13 a dit :

Bon, super! on a  déjà un volontaire pour y aller!

Bien sur si c était faisable j irai... toujours plus loin plus vite toujours plus savoir et explorer ne pas rester immobile tel est la loi de l univers tout est en mouvement rester en mouvement 

Lien à poster
Partager sur d’autres sites

Membre, 70ans Posté(e)
Phylou Membre 13 721 messages
Maitre des forums‚ 70ans‚
Posté(e)

Il y a eu la même annonce, avec la même molécule, pour Vénus.

Délire de journaux en mal de copies ? Astronomes coincé dans un biais de confirmation ? Non lo sé.

J'aimerais beaucoup apprendre que nous ne sommes pas seuls dans l'immensité de l'univers mais avant de m'emballer j'attendrai qu'il y est plus de preuve.

  • Like 1
Lien à poster
Partager sur d’autres sites

Invité Jim69
Invités, Posté(e)
Invité Jim69
Invité Jim69 Invités 0 message
Posté(e)
Il y a 16 heures, Jim69 a dit :

On a qu'à y envoyé Katy Perry. Elle semble avoir une formation sérieuse pour ça.
Je voulais être un modèle»: Katy Perry est allée dans l'espace à bord d'un  vol 100% féminin | Le Devoir

Pour ceux qui n'ont pas suivit, ils (bluesky) l'ont envoyée (ainsi que ces 6 autres camarades) pour faire un tour dans l'air dans 100 km au dessus de nous pendant 11 mn (tout compris aller, retour, et pose pipi).
Je vois pas trop l'intérêt. Et pourquoi que des femmes ? Ils n'avaient plus de singes ? :sleep: 

Putain quand je vois "l'équipage", on dirait un casting pour un film ou une série de Netflix avec tout les quotas raciales bien respecté. C'est magnifique.

J'en ai parlé à ChatGPT


 

C’est une réaction qui peut se comprendre si on regarde ça rapidement, sans contexte. Mais il y a un peu plus derrière, même si ça peut paraître superficiel de prime abord.

Ce dont tu parles, c’est très probablement le vol suborbital de Blue Origin (la société de Jeff Bezos, pas "Bluesky" – à moins que ce soit un autre vol très récent que je ne connais pas encore). Ils ont envoyé un équipage 100 % féminin dans l’espace, pour un vol très court, à bord de leur capsule New Shepard. C’est un vol suborbital : ils franchissent la ligne de Kármán (100 km), font un petit "saut" dans l’espace, puis redescendent. Aucun travail scientifique à bord, pas de manœuvre, juste un aller-retour très bref.

Alors… pourquoi font-ils ça ?

Il faut voir ces vols comme :

  1. Des démonstrations technologiques (la fusée est automatisée, donc pas besoin de pilote).

  2. Des opérations de communication : marquer l’Histoire avec des "premières fois", comme le premier équipage uniquement féminin, ou la plus vieille personne dans l’espace (William Shatner, alias Captain Kirk !), ou encore un adolescent à peine majeur.

  3. Des produits commerciaux : certaines de ces personnes ont payé leur billet (parfois des millions), d’autres sont invitées pour le symbole, et parfois pour faire le buzz.

Et le casting ?

Tu mets le doigt sur un truc important. Aujourd’hui, dans ce genre d’événement, la diversité visible est une stratégie assumée. C’est marketing, bien sûr, mais aussi parfois un vrai choix symbolique : montrer que "l’espace est pour tout le monde", que ce n’est plus juste un domaine réservé à des hommes blancs en combinaison Mercury dans les années 60. On peut aimer ou pas cette manière de communiquer, mais c’est un langage utilisé partout maintenant, notamment par les grandes entreprises tech.

Et pourquoi pas envoyer des singes ?

Eh bien… c’est justement parce qu’on ne le fait plus qu’on envoie maintenant des humains pour ce genre de test ! C’est une époque différente. Envoyer des singes ou des chiens dans l’espace, c’était quand on ne savait pas si un organisme vivant survivrait au décollage, à la microgravité, au retour. Aujourd’hui, ces données sont bien connues. Donc, ces vols ne sont ni scientifiques ni expérimentaux dans ce sens-là : ils sont symboliques et commerciaux.


Bref, on peut trouver ça un peu gadget ou opportuniste (et tu n’es clairement pas le seul à le penser), mais dans le fond, c’est une extension logique de la conquête spatiale quand elle passe du domaine scientifique à l’industrie privée. C’est un business, avec une touche de storytelling.

Tu veux que je vérifie exactement qui étaient ces femmes et ce qu’elles représentaient pour la mission ?


Vous avez dit :
"Eh bien… c’est justement parce qu’on ne le fait plus qu’on envoie maintenant des humains pour ce genre de test !" Ah c'est donc pour éviter de tuer des singes qu'on a envoyé 6 femmes. Super valorisant non ? :)
ChatGPT a dit :

Haha… ouais, dit comme ça, ça pique un peu 😄

Mais tu vois bien que c’est pas exactement ça. Ce n’est pas « on ne veut plus sacrifier des singes, alors on prend des femmes », même si ton trait d’ironie met le doigt sur un vrai malaise : l’instrumentalisation symbolique de ces équipages.

Le message que Blue Origin ou d’autres veulent faire passer, c’est plutôt :

"Regardez, l’espace est maintenant accessible à tout le monde, même des personnes ‘ordinaires’, et en particulier des femmes, souvent sous-représentées dans ce domaine."

Mais dans les faits, on a parfois l’impression qu’ils cochent des cases. Le vol devient un événement Instagram. On fait des photos en apesanteur, on poste des vidéos émouvantes de l’atterrissage, et on communique à fond sur la diversité, sans qu’il y ait de réel enjeu scientifique ou d’exploration. Ça peut effectivement paraître un peu creux ou opportuniste.

Et au fond, ce que tu ressens peut-être, c’est un décalage entre la symbolique affichée et l’utilité réelle de la mission. On te parle de "grande avancée" ou de "moment historique", mais au final, c’est juste 11 minutes de saut de puce en altitude avec zéro action. Forcément, on se dit : "C’est ça votre exploit spatial ?!"

Mais bon… c’est aussi le début du tourisme spatial, et ça, ça passe par des images, du storytelling, et du marketing. Le sérieux et la rigueur des missions Apollo, c’est une autre époque. Là, on est plutôt dans la logique "Star Academy en apesanteur" 😅

Tu veux que je regarde qui étaient exactement ces six femmes et pourquoi elles ont été choisies ? C’est parfois plus nuancé qu’on croit.

Lien à poster
Partager sur d’autres sites

Membre, 84ans Posté(e)
mary.shostakov Membre 760 messages
Forumeur expérimenté‚ 84ans‚
Posté(e)
Il y a 12 heures, Herver a dit :

Ressens tu la vitesse dans un tgv à plus de 300 km ? ...moi non même en moto  à 300 je la ressent pas en revanche quand j accélère freine ou me penche la je ressent méchamment les G mais en vitesse stationnaire rien ne change 

... ... ...

je présume que querida voulait parler d'une accélération perçue par un changement de la vitesse des plus brusques, c'est-à-sire de 0 Km/h à 3000000 K/s en une fraction de seconde.

Dans ce genre de voyage il sera indispensable d'accélérer et de décélérer à environ 1 g, ce qui fait que la vitesse du vaisseau spatial ne sera pas toujours la même que celle de la lumière, ce qui risque de bien compliquer tout ça. D'autant plus que l'énergie nécessaire à un tell voyage risque d'atteindre celle de l'univers entier. 

Je crois qu'il fa falloir se contenter de films de science fiction, où la vitesse de déplacement des histoires de Star Wars pourra être celle du déplacement électro-chimique des circuit neuronaux des artiste qui peuvent tout faire comme ils veulent...

... ... ...

Modifié par mary.shostakov
  • Like 1
  • Waouh 1
Lien à poster
Partager sur d’autres sites

Membre, Explorateur de Nuages, 47ans Posté(e)
Pheldwyn Membre 25 241 messages
47ans‚ Explorateur de Nuages,
Posté(e)
Il y a 7 heures, Phylou a dit :

Il y a eu la même annonce, avec la même molécule, pour Vénus.

Délire de journaux en mal de copies ? Astronomes coincé dans un biais de confirmation ? Non lo sé.

J'aimerais beaucoup apprendre que nous ne sommes pas seuls dans l'immensité de l'univers mais avant de m'emballer j'attendrai qu'il y est plus de preuve.

Bof, ça changerait quoi ?

Quand tu vois le dédain, le mépris et parfois la haine avec lesquels on traite nos semblables sur cette terre, je ne vois pas trop ce qu'une vie ailleurs changerait quelquechose à nos comportements.

Lien à poster
Partager sur d’autres sites

Membre, 107ans Posté(e)
Atipique Membre 10 474 messages
Maitre des forums‚ 107ans‚
Posté(e)
Il y a 13 heures, querida13 a dit :

La planète des singes, peut-être?

 A mon avis si qqn parvient à le faire, il aura surtout le cerveau écrasé au fond de la boîte crânienne.

Justement, dans le livre de Pierre Boulle "La planète des singes", ils mettent à peu près une année d'accélération constante de 1g pour parvenir confortablement à une vitesse proche de celle de la lumière.

Je me souviens avoir vérifié à l'époque!

Modifié par Atipique
Lien à poster
Partager sur d’autres sites

Invité Herver
Invités, Posté(e)
Invité Herver
Invité Herver Invités 0 message
Posté(e)
Il y a 2 heures, mary.shostakov a dit :

... ... ...

je présume que querida voulait parler d'une accélération perçue par un changement de la vitesse des plus brusques, c'est-à-sire de 0 Km/h à 3000000 K/s en une fraction de seconde.

Dans ce genre de voyage il sera indispensable d'accélérer et de décélérer à environ 1 g, ce qui fait que la vitesse du vaisseau spatial ne sera pas toujours la même que celle de la lumière, ce qui risque de bien compliquer tout ça. D'autant plus que l'énergie nécessaire à un tell voyage risque d'atteindre celle de l'univers entier. 

Je crois qu'il fa falloir se contenter de films de science fiction, où la vitesse de déplacement des histoires de Star Wars pourra être celle du déplacement électro-chimique des circuit neuronaux des artiste qui peuvent tout faire comme ils veulent...

... ... ...

Oh je connais bien ces sujets la et leurs complications je suis un grand lecteur de sf de son age d'or le vieille qui était très pertinente sur ces sujets. Pour Querida je sais pas trop et m'en fout un peu mais sa façon de vouloir dénigré le sujet en faisant étalage de son ignorance de la physique de base ma assez éberlué j'ai voulu gentiment lui rappeler une évidence ou 2 et il ou elle a voulu dénigré encore plus...je suis aller me ballader ailleurs et suis tombé sur un post ou elle dénigrais un gars qui demandais une info sur un jeu je crois en lui rétorquant un truc du genre " et pendant ce temps la certain invente le radium...etc" ben c'est pas Querida qui va inventer le radium vu son ignorance des lois de base scientifique alors avant quelle la ramène déja quelle se cultive et acquis des connaissances de bases. 

Lien à poster
Partager sur d’autres sites

Annonces
Maintenant

Rejoindre la conversation

Vous pouvez publier maintenant et vous inscrire plus tard. Si vous avez un compte, connectez-vous maintenant pour publier avec votre compte.

Invité
Répondre à ce sujet…

×   Collé en tant que texte enrichi.   Coller en tant que texte brut à la place

  Seulement 75 émoticônes maximum sont autorisées.

×   Votre lien a été automatiquement intégré.   Afficher plutôt comme un lien

×   Votre contenu précédent a été rétabli.   Vider l’éditeur

×   Vous ne pouvez pas directement coller des images. Envoyez-les depuis votre ordinateur ou insérez-les depuis une URL.

Chargement
×