Aller au contenu

Dérivation 1ère


Eleor

Messages recommandés

Membre, 20ans Posté(e)
Eleor Membre 26 messages
Forumeur balbutiant‚ 20ans‚
Posté(e)

Bonjour,

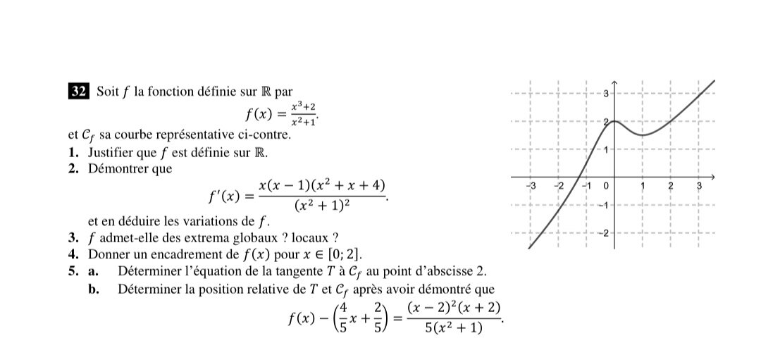
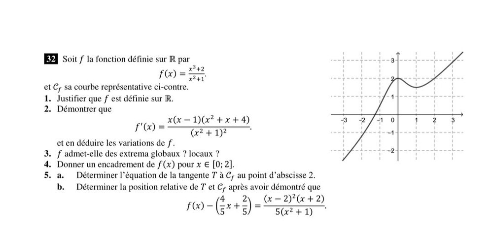
J'aurai besoin d'aide pour mon devoir sur la dérivation s'il vous plaît, l'exercice étant accompagné d'une image je vous le mets en pièce jointe.  

 Pour la première question, j'ai calculé delta de x² + 1

Donc = 0² - 4 * 1 * 1 = -4

Le résultat étant négatif me bloque, merci de me mener à la bonne piste. 

 

 

IMG_20230227_093713.jpg

Lien à poster
Partager sur d’autres sites

Annonces
Maintenant
Invité Jim69
Invités, Posté(e)
Invité Jim69
Invité Jim69 Invités 0 message
Posté(e)

Pour le point 1 :
x²+1 sur R ne peut donner qu'un résultat supérieur à 0 (résultat dans R*+) on peut même préciser supérieur ou égale à 1.
Tu peux représenter la courbe (elle a une gueule du genre) :
image.png.2c63e17050447a4bf9d5a065b4a559f9.png

De même x³+1 sur R donnent un résultat sur R (x³ étant positif, négatif ou nul)
x³+1
x²+1

Pour tout x élément de R on peut donc calculer la fonction et donc elle est définie sur R

Pour le point 2 c'est du cours, tu suis les règles pour calculer la dérivée. Et pareil pour faire un tableau de variation, c'est du cours. Si tu ne suis pas en cours cherche dans ton bouquin de math ou sur le net : calcul de dérivée et tableau de variation d'une fonction (spoil : ça utilise la fonction dérivée f')

Je ne vais pas le dire pour tout les points, mais toutes les questions c'est du cours. Il faut appliquer ce qui a été dit durant les cours que tu peux retrouver au pire dans ton bouquin de math si tu n'écoutes pas dans les cours, et sur le net si tu as perdu ton bouquin de math ou s'il est encore sous blister.
 

Lien à poster
Partager sur d’autres sites

Membre, 36ans Posté(e)
Virtuose_en_carnage Membre 7 165 messages
Maitre des forums‚ 36ans‚
Posté(e)
Il y a 5 heures, Jim69 a dit :

Pour le point 1 :
x²+1 sur R ne peut donner qu'un résultat supérieur à 0 (résultat dans R*+) on peut même préciser supérieur ou égale à 1.
Tu peux représenter la courbe (elle a une gueule du genre) :
image.png.2c63e17050447a4bf9d5a065b4a559f9.png

De même x³+1 sur R donnent un résultat sur R (x³ étant positif, négatif ou nul)
x³+1
x²+1

Pour tout x élément de R on peut donc calculer la fonction et donc elle est définie sur R

Pour le point 2 c'est du cours, tu suis les règles pour calculer la dérivée. Et pareil pour faire un tableau de variation, c'est du cours. Si tu ne suis pas en cours cherche dans ton bouquin de math ou sur le net : calcul de dérivée et tableau de variation d'une fonction (spoil : ça utilise la fonction dérivée f')

Je ne vais pas le dire pour tout les points, mais toutes les questions c'est du cours. Il faut appliquer ce qui a été dit durant les cours que tu peux retrouver au pire dans ton bouquin de math si tu n'écoutes pas dans les cours, et sur le net si tu as perdu ton bouquin de math ou s'il est encore sous blister.
 

Je te remercie à la place de l'auteur du sujet, tu as quand même bien mouillé le maillot pour faire l'exo! :D

Lien à poster
Partager sur d’autres sites

Membre, 58ans Posté(e)
SpookyTheFirst Membre 4 312 messages
Maitre des forums‚ 58ans‚
Posté(e)

Perso j’ai toujours trouvé assez frime d’utiliser la dérivée’’’ pour trouver la courbure de l’extremun.

Lien à poster
Partager sur d’autres sites

Invité Jim69
Invités, Posté(e)
Invité Jim69
Invité Jim69 Invités 0 message
Posté(e)
Le 03/03/2023 à 08:22, SpookyTheFirst a dit :

Perso j’ai toujours trouvé assez frime d’utiliser la dérivée’’’ pour trouver la courbure de l’extremun.

Ouais c’est très surfait, un pièce pour jouer pile ou face, pile croissant, face décroissant, suffit grandement en effet.

Lien à poster
Partager sur d’autres sites

Annonces
Maintenant

Archivé

Ce sujet est désormais archivé et ne peut plus recevoir de nouvelles réponses.

×