Aller au contenu

Devoir Maison Maths


Robin._

Messages recommandés

Nouveau, 22ans Posté(e)
Robin._ Nouveau 4 messages
Baby Forumeur‚ 22ans‚
Posté(e)

Bonjour a tous,

J'aurais besoin d'aide pour deux exercice car je n'étais pas la au dernier cours j'ai donc pas eus le cours de math comme tout le monde ( je suis perdu la x) )

Alors voila les exercices:

https://fr.calameo.com/read/00495697959eeff224a7c

c'est page 121 et ce sont les exercices 44 et 45

Merci d'avance pour votre aide.

Cordialement.

 

 

Lien à poster
Partager sur d’autres sites

Annonces
Maintenant
Membre, 154ans Posté(e)
Annalevine Membre 3 528 messages
Mentor‚ 154ans‚
Posté(e)
Il y a 5 heures, Robin._ a dit :

Bonjour a tous,

J'aurais besoin d'aide pour deux exercice car je n'étais pas la au dernier cours j'ai donc pas eus le cours de math comme tout le monde ( je suis perdu la x) )

Alors voila les exercices:

https://fr.calameo.com/read/00495697959eeff224a7c

c'est page 121 et ce sont les exercices 44 et 45

Merci d'avance pour votre aide.

Cordialement.

 

 

Je ne sais pas comment marche votre pagination mais page 121, ainsi que me l’indique mon iPhone il n’y a pas d’exo 44 et 45. Vous ne pourriez pas plutôt faire une photo de ces exo, cela permettrait de plus aisément vous venir en aide.

A mon avis ça doit correspondre à la page 125 vos deux exo. Ou alors donnez moi le début des deux exo, la première phrase de chacun, je trouverai.

Lien à poster
Partager sur d’autres sites

Nouveau, 22ans Posté(e)
Robin._ Nouveau 4 messages
Baby Forumeur‚ 22ans‚
Posté(e)

Bonjour, merci alors voila les deux exercices sont effectivement à la page 125 le 44 et le 45

 

 

 

Lien à poster
Partager sur d’autres sites

Membre, 154ans Posté(e)
Annalevine Membre 3 528 messages
Mentor‚ 154ans‚
Posté(e)
Il y a 4 heures, Robin._ a dit :

Bonjour, merci alors voila les deux exercices sont effectivement à la page 125 le 44 et le 45

 

 

 

D’accord, je vous donnerai des indications demain. Bonne soirée.

Lien à poster
Partager sur d’autres sites

Nouveau, 22ans Posté(e)
Robin._ Nouveau 4 messages
Baby Forumeur‚ 22ans‚
Posté(e)
il y a 38 minutes, Annalevine a dit :

D’accord, je vous donnerai des indications demain. Bonne soirée.

Merci de votre aide bonne soirée à vous aussi

 

Lien à poster
Partager sur d’autres sites

Nouveau, 22ans Posté(e)
Robin._ Nouveau 4 messages
Baby Forumeur‚ 22ans‚
Posté(e)

Merci beaucoup pour ce première exercice ca me sauve la vie :D à demain j'espère.

Lien à poster
Partager sur d’autres sites

Membre, 154ans Posté(e)
Annalevine Membre 3 528 messages
Mentor‚ 154ans‚
Posté(e)

Je vous livrerai la suite dans la journée. Faites moi plaisir : étudiez bien votre cours, comprenez bien le chapitre sur les dérivées. C’est un chapitre difficile mais si vous faites des études de sciences il est nécessaire de maîtriser la notion de dérivée. À tout à l’heure.

Lien à poster
Partager sur d’autres sites

Membre, 35ans Posté(e)
Virtuose_en_carnage Membre 7 004 messages
Maitre des forums‚ 35ans‚
Posté(e)
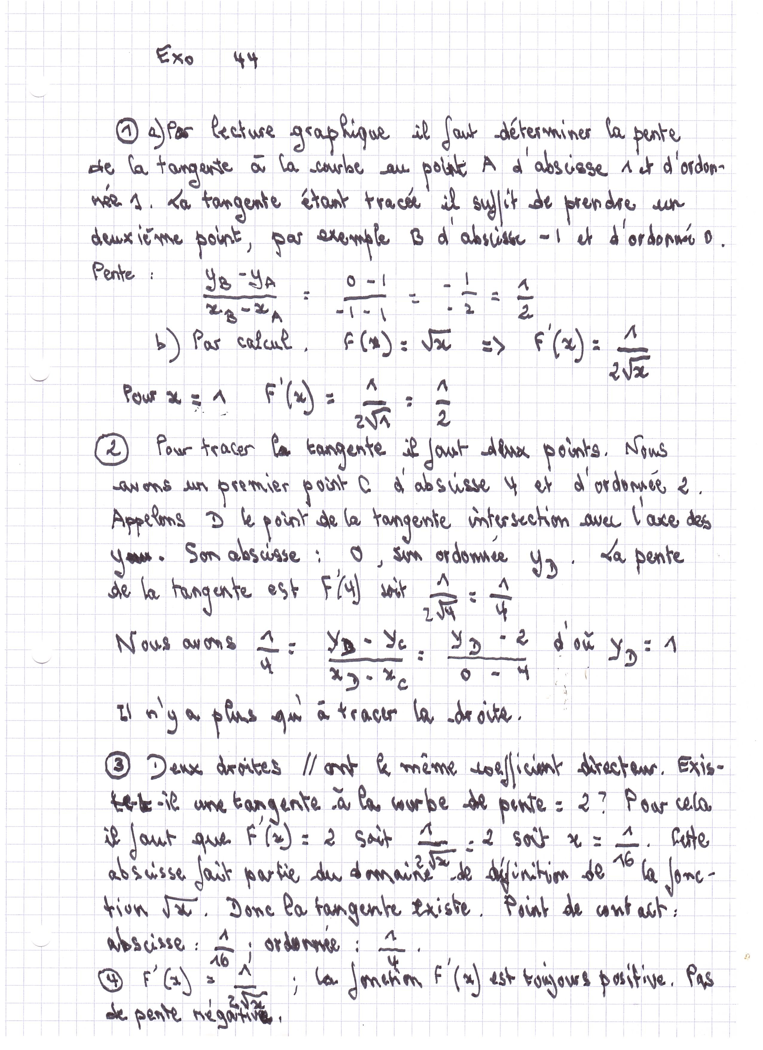
Il y a 12 heures, Annalevine a dit :

exo 44

mathforum 001.jpg

A quoi cela sert de donner la solution a quelqu'un qui n'en a rien faire et qui n'a pas bûché plus de vingt secondes sur l'exercice?

Lien à poster
Partager sur d’autres sites

Membre, 154ans Posté(e)
Annalevine Membre 3 528 messages
Mentor‚ 154ans‚
Posté(e)
Le 03/01/2020 à 04:21, Robin._ a dit :

Bonjour a tous,

J'aurais besoin d'aide pour deux exercice car je n'étais pas la au dernier cours j'ai donc pas eus le cours de math comme tout le monde ( je suis perdu la x) )

Alors voila les exercices:

https://fr.calameo.com/read/00495697959eeff224a7c

c'est page 121 et ce sont les exercices 44 et 45

Merci d'avance pour votre aide.

Cordialement.

 

 

Voici l'exo 45

Si vous avez besoin de renseignements n'hésitez pas à me questionner.

exo45 001.jpg

Lien à poster
Partager sur d’autres sites

Annonces
Maintenant

Archivé

Ce sujet est désormais archivé et ne peut plus recevoir de nouvelles réponses.

×