Aller au contenu

Sur l'heuristique des équations de la physique.


Invité Lorrain27

Messages recommandés

Invité Lorrain27
Invités, Posté(e)
Invité Lorrain27
Invité Lorrain27 Invités 0 message
Posté(e)

Bonjour,

Le célèbre physicien français Paul Langevin a dit : "Les équations de la physique connaissent mieux la physique que le physicien lui-même".

Voici deux exemples qui illustrent son propos :

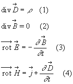
Le physicien James Clerk Maxwell a trouvé les équations suivantes qui contiennent TOUTE l'électricité, le magnétisme et l'électromagnétisme qui est l'unification des deux. (voir image ci-dessous)

Mais ces équations nous disent aussi, ce que Maxwell n'a pas vu tout de suite, que la vitesse de la lumière est une CONSTANTE indépendante du repère auquel on la rapporte. Or, c'est en partant de cette constance de la vitesse de la lumière qu'Einstein a développé toute sa théorie de la Relativité restreinte laquelle a remis en cause nos conceptions de l'espace et du temps.

En théorie de la Relativité générale, Einstein en a trouvé l'équation fondamentale.

Voici cette équation, peu importe que vous la compreniez ou non, ce qui compte est sa conséquence.

Rij -0.5gijR = Tij

Eh bien, le physicien Alexander Friedman a trouvé une solution exacte de cette équation qui montre que l'Univers est en expansion au grand étonnement d'Einstein et de toute la communauté scientifique internationale qui croyait dur comme fer que l'Univers est statique.

Pour la première fois, on se rendit compte que l'Univers a une histoire !

post-192440-0-11690800-1452317622_thumb.gif

Lien à poster
Partager sur d’autres sites

Annonces
Maintenant
Membre, Baby Forumeur, 31ans Posté(e)
Eventuellement Membre 3 422 messages
31ans‚ Baby Forumeur,
Posté(e)

Salut Lorrain, tu as sciemment "oubliè" la constante cosmologique pour satisfaire aux conclusions d'Hubble, mais il s'avère qu'elle reste tout de même nécessaire dans l'équation de champ...

Lien à poster
Partager sur d’autres sites

Invité Lorrain27
Invités, Posté(e)
Invité Lorrain27
Invité Lorrain27 Invités 0 message
Posté(e)

Bonjour,

Je n'ai pas oublié cette constante qu'Einstein a introduite pour contrer le résultat de Friedman, constante qu'Einstein a déclaré être la plus grande bourde de sa vie après la découverte d'Hubble concernant l'expansion de l'Univers.

Einstein ayant supprimé cette constante, je ne l'ai pas faite figurer dans son équation.

Mais aujourd'hui, les cosmologistes la réintroduisent pour tenir compte de l'accélération de l'expansion de l'Univers.

Bien sûr, cette constante ne joue pas du tout le même rôle que celle d'Einstein laquelle avait pour objectif de maintenir l'Univers statique alors que la nouvelle est là pour le contraire : Tenir compte de cette accélération de l'expansion.

Amicalement.

Lien à poster
Partager sur d’autres sites

Membre, Posté(e)
voileux Membre 7 613 messages
Mentor‚
Posté(e)

Bonjour,

Le célèbre physicien français Paul Langevin a dit : "Les équations de la physique connaissent mieux la physique que le physicien lui-même".

Voici deux exemples qui illustrent son propos :

Le physicien James Clerk Maxwell a trouvé les équations suivantes qui contiennent TOUTE l'électricité, le magnétisme et l'électromagnétisme qui est l'unification des deux. (voir image ci-dessous)

Mais ces équations nous disent aussi, ce que Maxwell n'a pas vu tout de suite, que la vitesse de la lumière est une CONSTANTE indépendante du repère auquel on la rapporte. Or, c'est en partant de cette constance de la vitesse de la lumière qu'Einstein a développé toute sa théorie de la Relativité restreinte laquelle a remis en cause nos conceptions de l'espace et du temps.

En théorie de la Relativité générale, Einstein en a trouvé l'équation fondamentale.

Voici cette équation, peu importe que vous la compreniez ou non, ce qui compte est sa conséquence.

Rij -0.5gijR = Tij

Eh bien, le physicien Alexander Friedman a trouvé une solution exacte de cette équation qui montre que l'Univers est en expansion au grand étonnement d'Einstein et de toute la communauté scientifique internationale qui croyait dur comme fer que l'Univers est statique.

Pour la première fois, on se rendit compte que l'Univers a une histoire !

Le sujet est très interressant , mais le titre me choque ,car en Physique autant qu'en mathématiques ce ne sont que des "théories" qui s'affrontent, L'heuristique il me semble prouve les faits....Au niveau de la relativité (un sujet qui m'apparait opaque, car je n'ai aucunement ce niveau) Il me semble qu'il reste tout un tas d'inconnues....J'ai regardé l'équation avec intérêt (merci la toile) tout est très cohérent et pas si compliqué que cela

Lien à poster
Partager sur d’autres sites

Membre, Baby Forumeur, 31ans Posté(e)
Eventuellement Membre 3 422 messages
31ans‚ Baby Forumeur,
Posté(e)

Bonjour,

Je n'ai pas oublié cette constante qu'Einstein a introduite pour contrer le résultat de Friedman, constante qu'Einstein a déclaré être la plus grande bourde de sa vie après la découverte d'Hubble concernant l'expansion de l'Univers.

Einstein ayant supprimé cette constante, je ne l'ai pas faite figurer dans son équation.

Mais aujourd'hui, les cosmologistes la réintroduisent pour tenir compte de l'accélération de l'expansion de l'Univers.

Bien sûr, cette constante ne joue pas du tout le même rôle que celle d'Einstein laquelle avait pour objectif de maintenir l'Univers statique alors que la nouvelle est là pour le contraire : Tenir compte de cette accélération de l'expansion.

Amicalement.

Tu expliques toi-même en quoi elle est nécessaire, alors pourquoi ne l'inclues-tu pas ?

Lien à poster
Partager sur d’autres sites

Invité Lorrain27
Invités, Posté(e)
Invité Lorrain27
Invité Lorrain27 Invités 0 message
Posté(e)

Le sujet est très interressant , mais le titre me choque ,car en Physique autant qu'en mathématiques ce ne sont que des "théories" qui s'affrontent, L'heuristique il me semble prouve les faits....Au niveau de la relativité (un sujet qui m'apparait opaque, car je n'ai aucunement ce niveau) Il me semble qu'il reste tout un tas d'inconnues....J'ai regardé l'équation avec intérêt (merci la toile) tout est très cohérent et pas si compliqué que cela

Bonjour,

En physique et en philosophie, "heuristique" signifie "qui aide à la découverte". C'est en ce sens qu'Einstein et d'autres emploient ce mot.

Quant aux "théories qui s'affrontent", eh bien elles ne s'affrontent plus du tout dès lors que l'une l'a emporté sur les autres car ayant été confirmée par l'observation et/ou l'expérience.

Et pour ce qui concerne les théories retenues, on compte quand même, par exemple, la Relativité, restreinte aussi bien que générale.

Une confirmation, parmi tant d'autres de la Relativité générale, vient du GPS qui équipe peut-être votre voiture. SI on ne tenait pas compte de la Relativité générale, l'erreur cumulée de localisation de votre véhicule serait de 10 km par jour !

Einstein disait : "Si, sans aucunement perturber un système on peut prévoir avec certitude l'évolution de ce système à un moment ultérieur, alors ce système correspond à un élément de réalité".

Pour ce qui concerne les équations de Maxwell, ce n'est pas sur leur difficulté mathématique que je portais l'attention, mais sur le fait qu'elles contiennent le germe de la Relativité restreinte.

Ces équations contiennent explicitement la vitesse de la lumière donnée par deux CONSTANTES : la permittivité électrique du vide et la perméabilité magnétique du vide. Or, ces constantes ne dépendent d'aucun référentiel inertiel. Il en est donc de même pour la lumière et c'est bel et bien à partir de cette invariance de la vitesse de lumière qu'Einstein a développé la Relativité restreinte ce qui l'a conduit à totalement révolutionner notre conception de l'espace et du temps..

Par conséquent, je maintiens que ces équations ont une valeur heuristique.

vous affirmez qu'il reste "tout un tas d'inconnues". Lesquelles (en Relativité) ?

Mais bien sûr, dans le cas général de la recherche scientifique, il est évident qu'il reste plus à découvrir que ce qui a été trouvé. Cela explique la poursuite de la recherche.

Amicalement.

Tu expliques toi-même en quoi elle est nécessaire, alors pourquoi ne l'inclues-tu pas ?

Bonjour,

Vous confondez la constante cosmologique introduite par Einstein afin de maintenir statique l'Univers ce qui fut faux, avec la RECENTE et nouvelle constante cosmologique introduite de façon ad hoc pour tenter d'expliquer l'accélération de l'expansion de l'Univers.

Ces deux constantes sont totalement différentes.

Amicalement.

Lien à poster
Partager sur d’autres sites

Membre, Baby Forumeur, 31ans Posté(e)
Eventuellement Membre 3 422 messages
31ans‚ Baby Forumeur,
Posté(e)

Bonjour,

En physique et en philosophie, "heuristique" signifie "qui aide à la découverte". C'est en ce sens qu'Einstein et d'autres emploient ce mot.

Quant aux "théories qui s'affrontent", eh bien elles ne s'affrontent plus du tout dès lors que l'une l'a emporté sur les autres car ayant été confirmée par l'observation et/ou l'expérience.

Et pour ce qui concerne les théories retenues, on compte quand même, par exemple, la Relativité, restreinte aussi bien que générale.

Une confirmation, parmi tant d'autres de la Relativité générale, vient du GPS qui équipe peut-être votre voiture. SI on ne tenait pas compte de la Relativité générale, l'erreur cumulée de localisation de votre véhicule serait de 10 km par jour !

Einstein disait : "Si, sans aucunement perturber un système on peut prévoir avec certitude l'évolution de ce système à un moment ultérieur, alors ce système correspond à un élément de réalité".

Pour ce qui concerne les équations de Maxwell, ce n'est pas sur leur difficulté mathématique que je portais l'attention, mais sur le fait qu'elles contiennent le germe de la Relativité restreinte.

Ces équations contiennent explicitement la vitesse de la lumière donnée par deux CONSTANTES : la permittivité électrique du vide et la perméabilité magnétique du vide. Or, ces constantes ne dépendent d'aucun référentiel inertiel. Il en est donc de même pour la lumière et c'est bel et bien à partir de cette invariance de la vitesse de lumière qu'Einstein a développé la Relativité restreinte ce qui l'a conduit à totalement révolutionner notre conception de l'espace et du temps..

Par conséquent, je maintiens que ces équations ont une valeur heuristique.

vous affirmez qu'il reste "tout un tas d'inconnues". Lesquelles (en Relativité) ?

Mais bien sûr, dans le cas général de la recherche scientifique, il est évident qu'il reste plus à découvrir que ce qui a été trouvé. Cela explique la poursuite de la recherche.

Amicalement.

Bonjour,

Vous confondez la constante cosmologique introduite par Einstein afin de maintenir statique l'Univers ce qui fut faux, avec la RECENTE et nouvelle constante cosmologique introduite de façon ad hoc pour tenter d'expliquer l'accélération de l'expansion de l'Univers.

Ces deux constantes sont totalement différentes.

Amicalement.

Ah je n'ai jamais dit le contraire ! Dans aucun de mes messages je n'ai parlé de constante introduite par Einstein ou ultérieurement à lui. Il n'en reste pas moins qu'il existe une constante cosmologique que l'on associe à l'énergie du vide, et que cette constante est consistante avec l'idée que l'Univers est en expansion (elle décrit une densité homogène d'énergie du vide expliquant que l'expansion de l'Univers s'accélère). Et c'est la raison pour laquelle je ne comprends pas pourquoi tu ne l'inclues pas dans la théorie de champ.

Lien à poster
Partager sur d’autres sites

Invité Lorrain27
Invités, Posté(e)
Invité Lorrain27
Invité Lorrain27 Invités 0 message
Posté(e)

Ah je n'ai jamais dit le contraire ! Dans aucun de mes messages je n'ai parlé de constante introduite par Einstein ou ultérieurement à lui. Il n'en reste pas moins qu'il existe une constante cosmologique que l'on associe à l'énergie du vide, et que cette constante est consistante avec l'idée que l'Univers est en expansion (elle décrit une densité homogène d'énergie du vide expliquant que l'expansion de l'Univers s'accélère). Et c'est la raison pour laquelle je ne comprends pas pourquoi tu ne l'inclues pas dans la théorie de champ.

Bonjour,

Et moi, je ne comprends pas votre insistance !

J'ai cité l'équation fondamentale de la Relativité générale d'Einstein UNIQUEMENT pour montrer que cette équation, A L'INSU D'EINSTEIN, contenait l'expansion de l'Univers, illustrant ainsi la remarque de Paul Langevin : "Les équations de la physique connaissent mieux la physique que le physicien lui-même" citation qui était le sujet proposé.

Lien à poster
Partager sur d’autres sites

Membre, Baby Forumeur, 31ans Posté(e)
Eventuellement Membre 3 422 messages
31ans‚ Baby Forumeur,
Posté(e)

Bonjour,

Et moi, je ne comprends pas votre insistance !

J'ai cité l'équation fondamentale de la Relativité générale d'Einstein UNIQUEMENT pour montrer que cette équation, A L'INSU D'EINSTEIN, contenait l'expansion de l'Univers, illustrant ainsi la remarque de Paul Langevin : "Les équations de la physique connaissent mieux la physique que le physicien lui-même" citation qui était le sujet proposé.

Et c'est justement parce qu'elle contenait initialement l'expansion de l'Univers qu'Einstein a voulu lui rajouter une constante.

Mais l'équation initiale - celle que tu cites - n'est pas juste pour autant. Ou devrions-nous plutôt dire qu'elle n'est pas à jour du fait des nouvelles avancées en la matière et qu'elle décrit bien l'expansion de l'Univers mais d'une manière qui n'est pas quantitativement juste. Auquel cas je reste sur ma position : Il manque quelque chose :)

Lien à poster
Partager sur d’autres sites

Membre, Posté(e)
voileux Membre 7 613 messages
Mentor‚
Posté(e)

Bonjour,

En physique et en philosophie, "heuristique" signifie "qui aide à la découverte". C'est en ce sens qu'Einstein et d'autres emploient ce mot.

Quant aux "théories qui s'affrontent", eh bien elles ne s'affrontent plus du tout dès lors que l'une l'a emporté sur les autres car ayant été confirmée par l'observation et/ou l'expérience.

Et pour ce qui concerne les théories retenues, on compte quand même, par exemple, la Relativité, restreinte aussi bien que générale.

Une confirmation, parmi tant d'autres de la Relativité générale, vient du GPS qui équipe peut-être votre voiture. SI on ne tenait pas compte de la Relativité générale, l'erreur cumulée de localisation de votre véhicule serait de 10 km par jour !

Einstein disait : "Si, sans aucunement perturber un système on peut prévoir avec certitude l'évolution de ce système à un moment ultérieur, alors ce système correspond à un élément de réalité".

Pour ce qui concerne les équations de Maxwell, ce n'est pas sur leur difficulté mathématique que je portais l'attention, mais sur le fait qu'elles contiennent le germe de la Relativité restreinte.

Ces équations contiennent explicitement la vitesse de la lumière donnée par deux CONSTANTES : la permittivité électrique du vide et la perméabilité magnétique du vide. Or, ces constantes ne dépendent d'aucun référentiel inertiel. Il en est donc de même pour la lumière et c'est bel et bien à partir de cette invariance de la vitesse de lumière qu'Einstein a développé la Relativité restreinte ce qui l'a conduit à totalement révolutionner notre conception de l'espace et du temps..

Par conséquent, je maintiens que ces équations ont une valeur heuristique.

vous affirmez qu'il reste "tout un tas d'inconnues". Lesquelles (en Relativité) ?

Mais bien sûr, dans le cas général de la recherche scientifique, il est évident qu'il reste plus à découvrir que ce qui a été trouvé. Cela explique la poursuite de la recherche.

Amicalement.

Bonjour,

Vous confondez la constante cosmologique introduite par Einstein afin de maintenir statique l'Univers ce qui fut faux, avec la RECENTE et nouvelle constante cosmologique introduite de façon ad hoc pour tenter d'expliquer l'accélération de l'expansion de l'Univers.

Ces deux constantes sont totalement différentes.

Amicalement.

Je te remercie pour ta réponse , qui s'avère claire, je me suis égaré sur une autre définition de ce terme , qui m'était restée ancrée quand j'étais étudiant (ce n'était pas hier) à savoir hypothèse adoptée comme idée directrice indépendante de sa vérité absolue....

Je crois d'ailleurs que c'est en rapport avec un grafcet que nous devions inventer ...

Lien à poster
Partager sur d’autres sites

Invité Lorrain27
Invités, Posté(e)
Invité Lorrain27
Invité Lorrain27 Invités 0 message
Posté(e)

Je te remercie pour ta réponse , qui s'avère claire, je me suis égaré sur une autre définition de ce terme , qui m'était restée ancrée quand j'étais étudiant (ce n'était pas hier) à savoir hypothèse adoptée comme idée directrice indépendante de sa vérité absolue....

Je crois d'ailleurs que c'est en rapport avec un grafcet que nous devions inventer ...

Bonjour

Et moi je vous remercie pour votre réponse qui témoigne de votre probité intellectuelle.

C'est un plaisir de dialoguer avec vous.

Amicalement.

Lien à poster
Partager sur d’autres sites

Annonces
Maintenant

Archivé

Ce sujet est désormais archivé et ne peut plus recevoir de nouvelles réponses.

×