Aller au contenu

Intégrales primitives trigonométrie


BGT Solitary

Messages recommandés

Nouveau, 22ans Posté(e)
BGT Solitary Nouveau 1 message
Baby Forumeur‚ 22ans‚
Posté(e)

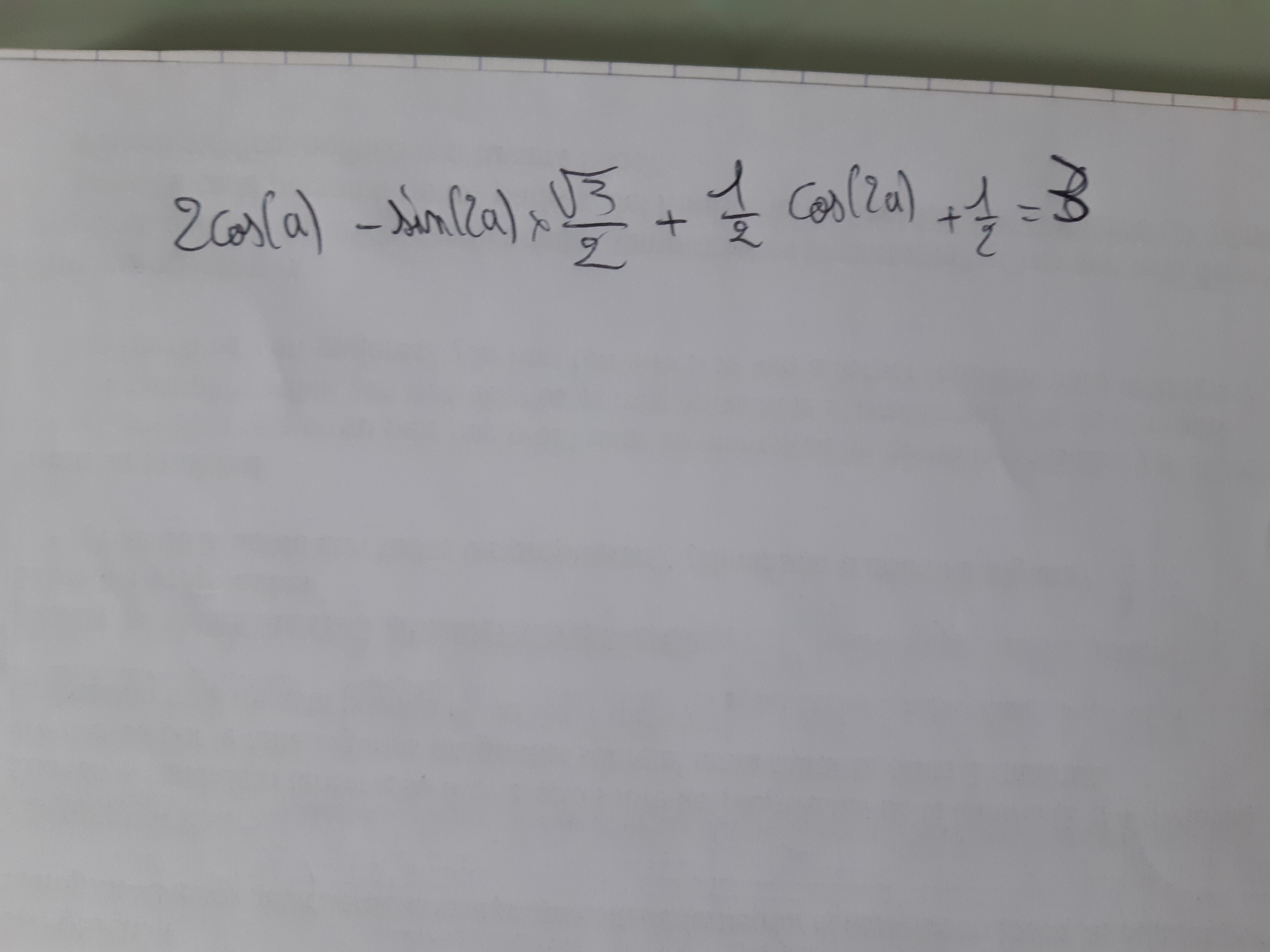
En pièce jointe la question sur laquelle je bloque ainsi que mon raisonnement et là où je suis arrivé merci de votre aide 

20220301_121312.jpg

20220301_120944.jpg

20220301_120950.jpg

Lien à poster
Partager sur d’autres sites

  • 2 mois après...
Annonces
Maintenant
Nouveau, 45ans Posté(e)
M. BERTRAND Nouveau 1 message
Baby Forumeur‚ 45ans‚
Posté(e)

Bonjour,

Vous vous compliquez la tâche.

Les informations suivantes vont vous aider :

(sin(u(x)))'=u'(x)cos(u(x))

(cos(u(x)))'=-u'(x)sin(u(x))

Si vous voulez plus de pistes j'ai traité cet exercice sur ma chaine YouTube.

M. BERTRAND de Sciences Pro

Lien à poster
Partager sur d’autres sites

Archivé

Ce sujet est désormais archivé et ne peut plus recevoir de nouvelles réponses.

×